
© Labor Enders 2025
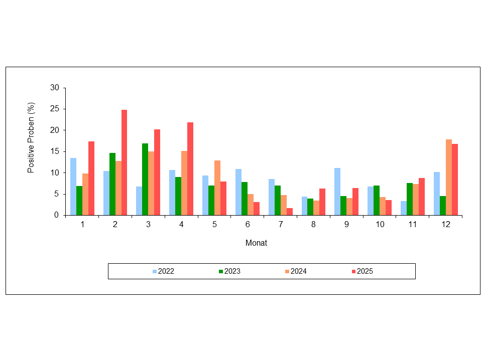
Norovirus-Situation 2022-2025 (Stand Januar 2026)

Verantwortlich für den Inhalt:
Priv.-Doz. Dr. Maren Eggers (0711-6357-130)
Dr. rer. nat. Ralph Hahn (0711-6357-141)

© Labor Enders 2025
Norovirus-Situation 2022-2025 (Stand Januar 2026)

Verantwortlich für den Inhalt:
Priv.-Doz. Dr. Maren Eggers (0711-6357-130)
Dr. rer. nat. Ralph Hahn (0711-6357-141)